Aristotle
Ted Kaczynski
Alan Turing
Albert Einstein
Latitude
Standard deviation
Johannes Kepler
Emmy Noether
Group (mathematics)
Algorithm
Logarithm
Euclidean algorithm
Quantum mechanics
Normal distribution
Actuary
Archimedes
Euclidean distance
John von Neumann
Möbius strip
Averroes
General relativity
Plato
Derivative
Josiah Willard Gibbs
James Clerk Maxwell
Prime number
Variance
Georg Cantor
Vector space
Leonhard Euler
Correlation
Richard Feynman
Dirac delta function
Isaac Newton
Taylor series
Alfred North Whitehead
Mathematician
Set (mathematics)
Matrix (mathematics)
Bertrand Russell
Big data
Monte Carlo method
Julia (programming language)
Roman numerals
Integral
Srinivasa Ramanujan
Random variable
Quantum computing
Galileo Galilei
Subrahmanyan Chandrasekhar
Momentum
Stochastic process
Gamma distribution
Devanagari
Histogram
Al-Khwarizmi
Fourier transform
Commutative property
Fast Fourier transform
Data structure
Fibonacci sequence
Logic
Graph (discrete mathematics)
Cartesian coordinate system
Geodesic
Probability density function
Pearson correlation coefficient
Big O notation
Time complexity
Dynamical system
René Descartes
Markov chain
NP-completeness
Thales of Miletus
Zhang Heng
Convolution
Axiom
Coefficient of determination
Blaise Pascal
Fields Medal
Exponential distribution
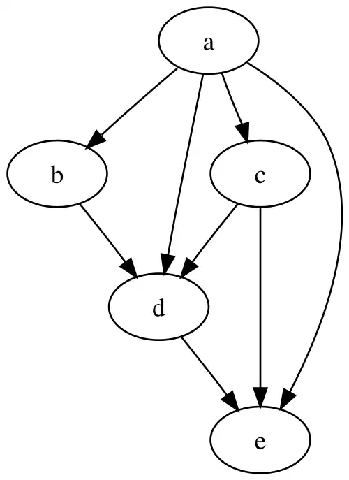
Directed acyclic graph
John Forbes Nash Jr.
Problem of Apollonius
Sphere
Exponential function
Metric space
Binary search tree
Shen Kuo
Euclidean space
Complex number
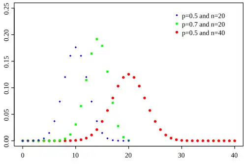
Binomial distribution
Theory of relativity
Euclidean vector
Charles Babbage
Ibn al-Haytham
Binary tree
Pythagoras
Maxwell's equations
Physics